[컴선설] Lec 04-2 Least Square solution
[컴선설] Lec 04-2 Least Square solution
Three methods of approaching least-square
Partial derivative
- Let error function as total squared sum of residual of each term
- Each partial derivative term must be zero
- Collecting all results and construct a matrix
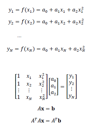
Matrix
- Construct a matrix $A$ with given condition
Likelihood
- Let the likelihood of Follows Normal distribution
- Maximum likelihood → maximizes probability : minimizes exponential term
Weighted maximum likelihood approach
- Each term $f(x_i) \sim N(y_i, \sigma_i^2)$ (with different stdev
- Consider a matrix $W$
- which is…
with all sigma must be changed to sigma^2
$\sigma_i \rightarrow \sigma_i^2$
This post is licensed under CC BY 4.0 by the author.
![[컴선설] Lec 04-2 Least Square solution](https://note.celenort.site/assets/img/2026-04-16-[컴선설]-Lec-04-2-Least-Square-solution/0-6445c1625b.png)

